doi: 10.56294/saludcyt20241114

 

ORIGINAL

 

Enhancing Image Clarity: Feature Selection with Trickster Coyote Optimization in Noisy/Blurry Images

 

Mejora de la claridad de las imágenes: Selección de características con optimización de coyote tramposo en imágenes ruidosas/borrosas

 

Prachi Jain1  *, Vinod Maan1  *

 

1Mody University of Science & Technology, Computer Science & Engineering. Laxmangarh, India.

 

Cite as: Jain P, Maan V. Enhancing Image Clarity: Feature Selection with Trickster Coyote Optimization in Noisy/Blurry Images. Salud, Ciencia y Tecnología. 2024; 4:1114. https://doi.org/10.56294/saludcyt20241114

 

Submitted: 12-02-2024                   Revised: 24-04-2024                   Accepted: 13-06-2024                 Published: 14-06-2024

 

Editor: Dr. William Castillo-González  

 

ABSTRACT

 

This paper presents a novel method for recognizing human emotions from gait data collected in an unconstrained environment. The method uses a bi-directional long short-term memory (FL-BiLSTM) network that is optimized by an augmented trickster coyote algorithm for feature selection and classification. The study focuses on overcoming the limitations of existing gait recognition systems that struggle with changes in walking direction. The paper evaluates the performance of the proposed FL-BiLSTM classifier method on a dataset of gait sequences with different emotions and compares it with existing methods. The results show that the proposed method achieves high accuracy, sensitivity, and specificity in emotion recognition from gait.

 

Keywords: Emotion Recognition; Giat; Feature Selection; Optimization; Trickster Coyote.

 

RESUMEN

 

Este trabajo presenta un método novedoso para reconocer emociones humanas a partir de datos de la marcha recogidos en un entorno sin restricciones. El método utiliza una red bidireccional de memoria a corto plazo (FL-BiLSTM) optimizada mediante un algoritmo de coyote embaucador aumentado para la selección y clasificación de características. El estudio se centra en superar las limitaciones de los actuales sistemas de reconocimiento de la marcha, que tienen dificultades con los cambios de dirección al caminar. El artículo evalúa el rendimiento del método clasificador FL-BiLSTM propuesto en un conjunto de datos de secuencias de andares con diferentes emociones y lo compara con los métodos existentes. Los resultados muestran que el método propuesto alcanza una alta precisión, sensibilidad y especificidad en el reconocimiento de emociones a partir de la marcha.

 

Palabras clave: Reconocimiento de Emociones; Giat; Selección de Características; Optimización; Coyote Embaucador.

 

 

 

INTRODUCTION

In human-computer interaction, emotion recognition has gained prominence in recent years, widely utilized for audio, video, and other purposes.(1,2,9) Emotion recognition techniques involve computer analysis of emotion data, extracting features to describe emotions, mapping these features to emotional states, and ultimately classifying emotions to discern psychological responses.(3,4,5) Currently, only a handful of robotic devices can discern human behavior beyond basic functions. Body motions and postures encode extensive information about participants, including their consciousness, intentionality, and emotions.(6,7) Gait, the way people walk, provides crucial human data applied in various contexts.(8,9,10) Integrating emotion detection by analyzing walking patterns enhances smart device functionality, aiding in fall prevention, disaster evacuations, and Parkinson’s disease diagnosis and treatment. Its non-intrusive nature and effectiveness in remote settings make this capability particularly valuable, requiring no active participation from the individual.(11) Human behavior analysis relies on relative positioning of skeletal segments. Action recognition from skeletal features involves temporal motion analysis.(12) Gait recognition, with its varied applications, faces challenges, particularly in handling changes in viewing angles, affecting the perceptual relationship between walking direction and the camera’s axis.(3) To overcome these challenges, a novel architectural approach was inspired by multi-task training’s information-sharing mechanisms.(7) Deep learning and pose estimation advancements enable detailed skeletal and joint movement extraction in gait analysis. Graph-based structures replace conventional grids for skeletal-based features. Prior methods, using convolutional networks, faced challenges with graph data analysis.(4,13) While these algorithms offer faster data analysis and result generation, they may be less effective when handling extensive datasets.

As AI advances, deep neural networks enter emotion classification, efficiently handling vast emotional datasets to boost detection precision.(5) Body language recognition is challenging due to difficulty in collecting high-quality movement datasets, hindering research progress.(6) Deep learning models are often recommended for extracting critical frames, yet they suffer from large model sizes, leading to slow execution times.(2)

Traditional machine learning limitations drive the adoption of deep learning for gait recognition.(14) Autoencoders and convolutional neural networks (CNNs) exemplify deep learning techniques with multiple layers, allowing diverse data representations.(15) Deep learning eliminates character generation needs but requires high computing power. Earlier architectures underused body segment orientations. Lightweight, robust methods emphasizing skeletal movements are needed.(3) Deep learning directly extracts discriminative features, eliminating separate feature generation. However, its architectures require significant computing power.(16,17,18,19)

This research introduces an augmented Trickster Coyote optimization algorithm to enhance FL-BiLSTM classifier performance in gait-based emotion recognition. Inspired by the trickster coyote’s hunting strategies, it optimizes training and feature selection efficiently, promoting efficacy and resource efficiency for real-world applications.

 

Literature survey

This section reviews emotion recognition methods based on body movement. Bhatia et al.(1) proposed a bi-modular structure for expression detection during walking, optimized with RMSprop. Effective in handling classification imbalance, it lacks spatial and temporal characteristic extraction for gait emotion identification. Dinh-Son Le et al.(2) proposed a simpler method for distinguishing movement classes, improving emotion identification. By employing keyframes, it reduces extraneous data, enhancing accuracy and lowering computing costs. However, the current keyframe extraction technique has lower emotion identification accuracy. MD. Shopon et al.(3) introduced a novel gait identification method on unrestricted paths using a graph neural network. It leverages kinematic connections and spatial-temporal information but overlooks skeletal features, recovering only a limited number of discriminating feature maps. Zhicheng Zhang et al.(20) proposed an improved binary coyote optimization algorithm (IBCOA) for feature selection. It utilizes two Sigmoidal transfer functions and an alpha-based mutation method. Evaluation on twelve UCI datasets demonstrates its superiority over other feature selection strategies. Rodrigo Clemente et al.(21) suggested incorporating a hyperbolic transfer function into a wrapper model with Binary COA (BCOA) for optimal feature subset selection in classification tasks. Evaluation on seven benchmark datasets illustrated BCOA’s ability to identify subgroups and achieve accurate classification with minimal features. Qingke Zhang et al.(22) introduced the Optimization State-based Coyote Optimization Algorithm (OSCOA), a variant of COA. Tested on 71 benchmark functions from various suites, OSCOA, along with seven optimizers, demonstrates efficacy and stability in real-world scenarios. Mahendra Bhatu Gawali et al.(23) introduced modified RL with BWF-COA to minimize error differences in movement. Results indicate substantial information gains compared to traditional models. Bei Pan et al.(24) introduced a novel multimodal emotion detection system using audio and visual information. Evaluation on three datasets showed average recognition rates of 60,77 % on BAUM-1s, 91,62 % on Enterface05, and 93,53 % on CK+. Thampi et al.(25) introduced MLARE (Meta Learning Approach to Recognize Emotions), employing a Siamese network on their AED-2 dataset. By utilizing state-of-the-art one-shot learning techniques, they achieved 90,6 % overall average accuracy in emotion recognition. Soh et al.(26) proposed two methods for optimizing spectral coefficients, integrating them into spectral features. Method 1 optimizes discrete spectral features, while method 2 employs the Berlin Emotional Database, including MFCC, LPC, LPCC, PLP, and RASTA-PLP features, with a SVM classifier. Experimental results show that increased coefficient numbers enhance voice emotion recognition performance. Comparing accuracies, Method 1 improved by 2 %, and Method 2 by 4 % over previous methodologies.

 

METHOD

 

Proposed Methodology for Emotion Recognition

Figure 1 introduces a new method for emotion recognition in walking videos sourced from,(19) covering happiness, sadness, and anger. We use adaptive thresholding to improve skeletonization and feature extraction, extracting a relevant region of interest. After extraction, we skeletonize frames and extract weighted descriptors like local binary patterns, local ternary patterns, and local optimal oriented patterns. Incorporating a ResNet 101-based texture feature, we combine it with weighted descriptors and skeletonized frames. We concatenate features and utilize augmented trickster coyote optimization for effective feature selection. These features feed into a federated learning-based BiLSTM classifier, with weights optimized using the proposed approach. Finally, we compare trained model outcomes with test data to predict emotions during walking.

 

Figure 1. Method for emotion recognition in walking videos

 

Adaptive Thresholding-based ROI extraction

Adaptive thresholding segments images by assigning foreground and background values based on intensity levels. It computes threshold values for smaller image regions, generating a binary image. Careful management of movable subjects, background removal, noise, and occlusion is vital for efficient localization in each frame with dimensions: NxMX3 

 

Image skeletonization

Skeletonization aims to outline objects accurately by capturing their fundamental shape. It reduces the foreground portion of the initial image to the core essence, providing a common and organic method for predicting human sentiments through sequences of joint positions.

 

Weighted feature descriptors

The weighted feature descriptors amalgamate characteristics such as the LDP, LTP, and LOOP, incorporating them into the overall dimensionality of NxMx3 for each frame dimension as NxMx1.

 

Local directional pattern (LDP)

For efficient emotion recognition from walking videos, the LDP feature is extracted from video frames. Each pixel is assigned a code, and the resulting LDP-encoded image is split to generate histograms for each region. The final descriptor is created by concatenating region histograms with dimensions of NxMx1

 

 

Where the pixel of an image is denoted as(ih, jh) with the threshold as q, the kirsch response of the neighbouring pixel is denoted as uand the highest kirsch activation function is represented as uq  with the kirsch mask as u.

 

Local ternary pattern (LTP)

Building upon enhancements to the local binary pattern, the local ternary pattern was conceived with a consistent threshold value, and the pixel thresholds were allocated distinct triadic values 1,0,-1

 

 

In image processing, designate the central pixel’s grayscale value as vh, while the grayscale value of the adjacent pixel is indicated as vc, taking into account a specified threshold value q. The central pixel within an image is identified as h, and the neighbouring pixel is referred to as c

 

Local optimal oriented pattern (LOOP)

The LOOP functionality has the potential to nullify the assigned value of the constant threshold, contingent upon the pixel within an image in the context of the LDP feature. Specifically for the pixel (ih,jh), the LOOP attribute is denoted as follows:

 

 

ResNet-101

To classify images based on walking patterns, preprocess the region of interest and input it into the ResNet network, particularly ResNet-101, which enhances accuracy by mitigating issues like vanishing gradients. ResNet-101 efficiently extracts texture-based features, surpassing methods like LBP and LDP in accuracy and computational efficiency. Its design, with skip connections and interconnecting filters, enables rapid learning without increasing error rates. By utilizing activations from previous time steps, it mitigates vanishing gradient issues. The output feature vector is derived from the Fc-1000 layer, ensuring accurate classification.

 

Feature Concatenation

The feature concatenation process seamlessly combines features from skeletonized ResNet 101 and weighted descriptor ResNet 101, preserving all original data information. These features feed into a federated learning BiLSTM classifier, optimized by an augmented trickster coyote optimizer for improved emotion recognition. This optimizer minimizes parameters, enhancing model efficiency. Both training and test videos are used for training and validation, aiming to boost classification accuracy and identify patterns. The trained model undergoes evaluation with dedicated datasets to gauge accuracy.

 

Proposed Augmented Trickster Coyote Optimization Based Feature Selection

Augmented Trickster Coyote Optimization (ATCO) combines the traits of the trickster coyote and Maine coon for feature selection. This metaheuristic algorithm emphasizes opinion-sharing and social dynamics, diverging from norms. By integrating the Maine coon’s cleverness, ATCO overcomes computation time and exploration limitations, bolstering its effectiveness.(17,18)

 

Mathematical modelling of augmented trickster coyote optimization

Modifications in the resolution variables z are used to model how the optimization will change according on the social context and trickster coyote’s fitness. As a result, the social position of the resolution parameters be appropriate to the TCth coyote in the ath pack at the Tth time is expressed as follows, and these variables primarily fall under the target of the objective function.

 

 

Initialization

Based on the social context, the global coyote trickster population is determined through random processes. Equation 10 yields distinct random values generated for TCth  trickster coyote within the ath pack, operating at a specific dimension of g.

 

 

In social dynamics, the gth resolution parameter serves the purpose of denoting the respective upper and lower boundaries Lg and Ug in the social context SD respectively.

 

Random origination

The dimension of the search space is assumed as Q and the generated actual random number is denoted as Rg within the range of [0,1] developing the random possibility. After the random generation of the possibility, the trickster coyote’ variation with their corresponding social situations are estimated and given as:

    

 

The trickster coyotes are distributed in the pack at random, so they could leave the group and end up alone rather than joining them. The number of trickster coyotes that can be removed from the pack with a probability of Gd depends primarily on the maximum number of trickster coyotes that can be removed from the pack from the overall population:

 

 

Suppose that the condition ETC ≥√200 probability Gd considers a value greater than one, although the overall population’s significant range of trickster coyotes is thought to be 14 in every pack. The population-wide optimization that has been established as increased cultural behavior as well as interactions with trickster coyotes.

 

Solved minimization issue

The two lambdas serve as the pack leaders with in traditional subspecies, however the trickster coyote group only considers one λTC from every pack of the overall population due to their best environmental adaptation characters. The ath pack λ at the Tth time is stated as follows to resolve the minimization issue as a result:

 

 

Sharing information

Due to the exhibition of smart behaviour that has an effect on preserving the total pack and spreading social conditions, the trickster coyote is appropriately constructed. The information disseminated by the trickster coyote is compiled to calculate the pack’s learning process, which is reported as:

 

 

For each parameter g in the range [0,Q], the social grading of every trickster coyote in the ath pack at Tth time is given as Sa,t. Which implies that social grouping of the pack is taken into account when calculating the social condition of every trickster coyote in a particular pack.

 

Age Computation

Birth and death are the two main biological processes that can be used to calculate the trickster coyote’s age by using the years, which are denoted by the variable:

 A)   

 

The two parent’s combined social situations that make up the newborn trickster coyote’s age were randomly chosen with the environmental inspiration that is formulated as:

 

 

Where, the two randomly chosen parameters of g1 and g2 are represented by the two trickster coyotes R1 and R2, in ath pack. The different probabilities that appear are combined and spread in the same way as Ge and Gm with random parameters. The generated random variable with the even probability is described as rg in the interval [0,1] and is represented as kg in the gth dimension, inside the resolution variable. The scattered likelihood of the trickster coyote in the pack and the union are the two main factors that affect the trickster coyote’s intellectual variance in the optimization. As follows are descriptions of the union probability and the scattered probability:

 

 

The identical results are influenced by the term Ge for both the parents.

 

 

Consider that the trickster coyote in the pack is primarily impacted by factors α1 and α2, the first one RTC1 denotes variability of the trickster coyote relative to the other trickster coyotes with in pack in terms of culture, and the second one RTC2 denotes variability of the trickster coyote relative to the pack’s cultural potential. Random selection methods α1, α2, and uniform distribution chosen the trickster coyote.

 

 

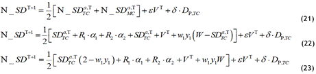
The modified social position of the trickster coyote is expressed in the following equation by utilizing the factors α1 and α2.

 

 

The general modified social position of the trickster coyote is standardized by integrating the new different parameters like the velocity of coyotes and the distance factor, which is the distance between the prey as well as the trickster coyote. Thus, the equation 20 is modified and is expressed as:

 

 

Where the distance between the prey and the trickster coyote is denoted as DP,TC velocity of the trickster coyote is denoted as V, the social context of the Maine coon is denoted as SDMCa,T. The random number is denoted as w1 of the Maine coon, y1 is denoted as constant, and the personal best solution is denoted as W.

In the uniform distribution, the random numbers are denoted as R1 and R2 within the interval of [0,1] and the modified social position is expressed as:

 

 

The tendency of the trickster coyote is identified by equation 24 depending on the attained previous position, and is expressed as:

 

 

The trickster coyote, while adept at sharing perspectives, lacks the speed for effective hunting in modern social conditions. Incorporating the Maine coon’s speed counteracts this limitation, preventing the algorithm from getting stuck in local optima. By integrating both velocities, the augmented trickster coyote optimization achieves flexibility, rapid convergence, and reliable outcomes. This study enhances optimization by merging Maine coon and trickster coyote velocities, fine-tuning classifier hyperparameters for superior performance.The pseudo code for the developed augmented trickster coyote optimization is labeled in algorithm 1.

 

Algorithm 1. Augmented trickster coyote optimization

S. No

Pseucode

1.

Input:

2.

Output:

3.

Initialization

4.

5.

After random origination

6.

7.

Solved minimization issue

8.

9.

Sharing information

10.

If ETC odd

11.

12.

otherwise

13.

14.

Age computation

15.

If g=g1

16.

17.

else g=g2

18.

19.

otherwise

20.

21.

Update social position

22.

By integrating the velocity of Maine coon

25.

End while

 

The federated deep BiLSTM classifier utilizes concatenated features, optimized via augmented trickster coyote optimization, to enhance performance. This novel approach minimizes parameters while maximizing efficiency. Effectiveness is assessed using both training and test videos, with training aimed at performance enhancement and pattern discovery. The model undergoes evaluation using dedicated datasets.

 

RESULTS AND DISCUSSION

The emotion recognition system, employing the trickster coyote-based FL-BiLSTM, is implemented in Python on a Windows 10 OS with 8GB RAM. Utilizing the “EWalk (Emotion Walk)” dataset, labeled gait expressions are analyzed to determine emotions from video recordings. Efficiency is evaluated based on three performance measures.

 

Accuracy: the percentage of real positive and negative responses across all samples can reliably predict a person’s emotional state.

 

 

Sensitivity: the ratio of accurate emotion classification to the total of accurate and misclassified cases determines the proposed method’s sensitivity.

 

 

Specificity: the ratio of accurate true negative identification to all true negative and false-positive cases is used to calculate the specificity of the developed approach.

 

 

Performance analysis based on k-fold

Figure 2 depicts the performance of the trickster coyote-based FL-BiLSTM in accuracy, sensitivity, and specificity across different k-fold values. Figure 2a), accuracy peaks at 96,808 % at k-fold 10 after 100 epochs. Figure 2b) illustrates sensitivity at 96,641 % for k-fold 9, after 100 epochs. Finally, figure 2c) displays specificity reaching 96,506 % for k-fold 8, after 100 epochs.

A)

B)

C)

Figure 2. Performance based on k-fold a) accuracy b) sensitivity c) specificity

 

CONCLUSION

This paper introduces a novel method for emotion recognition from gait data, leveraging an FL-BiLSTM network optimized with an augmented trickster coyote algorithm. Evaluation on diverse datasets demonstrates high accuracy, sensitivity, and specificity, enhancing feature selection and classification optimization for real-world applications in human-computer interaction and healthcare.

 

BIBLIOGRAPHIC REFERENCES

1. Bhatia, Y., Bari, A.H., Hsu, G.S.J. and Gavrilova, M., “Motion capture sensor-based emotion recognition using a bi-modular sequential neural network,” Sensors, vol. 22, no. (1), pp.403, 2022. https://doi.org/10.3390/s22010403

 

2. Le, D.S., Phan, H.H., Hung, H.H., Tran, V.A., Nguyen, T.H. and Nguyen, D.Q., “KFSENet: A Key Frame-Based Skeleton Feature Estimation and Action Recognition Network for Improved Robot Vision with Face and Emotion Recognition,” Applied Sciences, vol. 12, no. 11, pp. 5455, 2022. https://doi.org/10.3390/app12115455

 

3. Shopon, M., Hsu, G.S.J. and Gavrilova, M.L., “Multi-view Gait Recognition on Unconstrained Path Using Graph Convolutional Neural Network,” IEEE Access, 2022. https://doi.org/10.1109/ACCESS.2022.3176873

 

4. Sheng, W. and Li, X., “Multi-task learning for gait-based identity recognition and emotion recognition using attention enhanced temporal graph convolutional network,” Pattern Recognition, vol.114, pp.107868, 2021. https://doi.org/10.1016/j.patcog.2021.107868

 

5. Wang, S., Li, J., Cao, T., Wang, H., Tu, P., and Li, Y., “Dance emotion recognition based on laban motion analysis using convolutional neural network and long short-term memory,” IEEE Access, vol.8, pp.124928-124938, 2020. https://doi.org/10.1109/ACCESS.2020.3007956

 

6. Luo, Y., Ye, J., Adams, R.B., Li, J., Newman, M.G., and Wang, J.Z., “ARBEE: Towards automated recognition of bodily expression of emotion in the wild,” International journal of computer vision, vol.128, no.1, pp.1-25, 2020. https://doi.org/10.1007/s11263-019-01215-y

 

7. Bhattacharya, U., Roncal, C., Mittal, T., Chandra, R., Kapsaskis, K., Gray, K., Bera, A. andManocha, D., 2020, August. Take an emotion walk: Perceiving emotions from gaits using hierarchical attention pooling and affective mapping. In European Conference on Computer Vision (pp. 145-163). Springer, Cham. https://doi.org/10.1007/978-3-030-58607-2_9

 

8. Sepas-Moghaddam, A. and Etemad, A., “View-invariant gait recognition with attentive recurrent learning of partial representations,” IEEE Transactions on Biometrics, Behavior, and Identity Science, vol.3, no.1, pp.124-137, 2020. https://doi.org/10.1109/TBIOM.2020.3031470

 

9. Z. Zeng, M. Pantic, G. I. Roisman, and T. S. Huang, ‘‘A survey of affect recognition methods: Audio, visual, and spontaneous expressions,’’ IEEE Trans. Pattern Anal. Mach. Intell., vol. 31, no. 1, pp. 39–58, Jan. 2009. https://doi.org/10.1109/TPAMI.2008.52

 

10. F. Deligianni, Y. Guo, and G. Yang, “From emotions to mood disorders: A survey on gait analysis methodology,” IEEE Journal of Biomedical and Health Informatics, vol. 23, no. 6, pp. 2302–2316, November 2019. https://doi.org/10.1109/JBHI.2019.2938111

 

11. Gavrilova, M.L.; Ahmed, F.; Bari, A.H.; Liu, R.; Liu, T.; Maret, Y.; Sieu, B.K.; Sudhakar, T. Multi-modal motion-capture-based biometric systems for emergency response and patient rehabilitation. In Research Anthology on Rehabilitation Practices and Therapy; IGI Global: Hershey, PA, USA, 2021; pp. 653–678. https://doi.org/10.4018/978-1-7998-3432-8.ch032

 

12. Gong, D.; Medioni, G.; Zhao, X. Structured time series analysis for human action segmentation and recognition. IEEE Trans. Pattern Anal. Mach. Intell. 2013, 36, 1414–1427. https://doi.org/10.1109/TPAMI.2013.244

 

13. M. Liu, H. Liu, C. Chen, Enhanced skeleton visualization for view invariant human action recognition, Pattern Recognit 68 (2017) 346–362, doi: 10.1016/ j.patcog.2017.02.030. https://doi.org/10.1016/j.patcog.2017.02.030

 

14. A. Sepas-Moghaddam and A. Etemad, ‘‘Deep gait recognition: A survey,’’ 2021, arXiv: 2102.09546. https://doi.org/10.48550/arXiv.2102.09546

 

15. K. R. Shetty, V. S. Soorinje, and P. Dsouza, ‘‘Deep learning for computer vision: A brief review,’’ Int. J. Adv. Res. Sci., Commun. Technol., vol. 2018, pp. 450–463, Mar. 2022. https://doi.org/10.48175/IJARSCT-2898

 

16. Randhavane, T., Bhattacharya, U., Kapsaskis, K., Gray, K., Bera, A. and Manocha, D., 2019. Identifying emotions from walking using affective and deep features. arXiv preprint arXiv:1906.11884. https://doi.org/10.48550/arXiv.1906.11884

 

17. Pierezan, J. and Coelho, L.D.S., 2018, July. Coyote optimization algorithm: a new metaheuristic for global optimization problems. In 2018 IEEE congress on evolutionary computation (CEC) (pp. 1-8). IEEE. https://doi.org/10.1109/CEC.2018.8477769

 

18. Chu, S.C., Tsai, P.W. and Pan, J.S., 2006, August. Cat swarm optimization. In Pacific Rim international conference on artificial intelligence (pp. 854-858). Springer, Berlin, Heidelberg. https://doi.org/10.1007/11801603_94

 

19. EWalkdataset,“http://gamma.cs.unc.edu/GAIT/”.

 

20. Zhicheng Zhang & Jianqin Yin.2021.A Feature Selection Approach Based on Improved Binary Coyote Optimization Algorithm.Proceedings of 2021 Chinese Intelligent Automation Conference, pp 683–691, volume 801. https://doi.org/10.1007/978-981-16-6372-7_73

 

21. Rodrigo Clemente, Thom de Souza, Camila Andrade de Macedo, Leandro dos Santos Coelho, Juliano Pierezan , Viviana Cocco Mariani.2020.Binary coyote optimization algorithm for feature selection.Pattern Recognition,Volume 107, 107470 https://doi.org/10.1016/j.patcog.2020.107470

 

22. Qingke Zhang , Xianglong Bu , Zhi-Hui Zhan ,Junqing Li , Huaxiang Zhang .2023.An efficient Optimization State-based Coyote Optimization Algorithm and its applications.Applied Soft Computing, Volume 147, 110827 https://doi.org/10.1016/j.asoc.2023.110827

 

23. Mahendra Bhatu Gawali & Swapnali Sunil Gawali. 2022.Development of improved coyote optimization with deep neural network for intelligent skill knowledge transfer for human to robot interaction.Volume 6, pages 288–305, International Journal of Intelligent Robotics and Applications https://doi.org/10.1007/s41315-022-00236-0

 

24. Bei Pan, Kaoru Hirota, Zhiyang Jia, Linhui Zhao, Xiaoming Jin & Yaping Dai.2023.Multimodal emotion recognition based on feature selection and extreme learning machine in video clips.Journal of Ambient Intelligence and Humanized Computing Volume 14, pages 1903–1917. https://doi.org/10.1007/s12652-021-03407-2

 

25. Thampi, S. M., Piramuthu, S., Li, K.-C., Berretti, S., Wozniak, M., & Singh, D. 2021. Machine Learning and Metaheuristics Algorithms, and Applications. Communications in Computer and Information Science. https://doi.org/10.1007/978-981-16-0419-5

 

26. Soh, Ping Jack, Woo, Wai Lok, Sulaiman, Hamzah Asyrani, Othman, Mohd Azlishah, Saat, Mohd Shakir 2016. Improved Speech Emotion Classification from Spectral Coefficient Optimization. Advances in Machine Learning and Signal Processing Volume 387.10.1007/978-3-319-32213,pp.247–257. https://doi.org/10.1007/978-3-319-32213-1_22

 

FINANCING

We did not receive financing for the development of this research.

 

CONFLICT OF INTEREST

We declare that there is no conflict of interest.

 

AUTHORSHIP CONTRIBUTION

Conceptualization: Vinod Maan.

Data curation: Vinod Maan.

Formal analysis: Prachi Jain, Vinod Maan.

Acquisition of funds: Prachi Jain, Vinod Maan.

Research: Prachi Jain, Vinod Maan.

Methodology: Prachi Jain.

Project management: Prachi Jain, Vinod Maan.

Resources: Prachi Jain, Vinod Maan.

Software: Prachi Jain.

Supervision: Vinod Maan.

Validation: Prachi Jain, Vinod Maan.

Display: Prachi Jain.

Drafting - original draft: Prachi Jain.

Writing - proofreading and editing: Prachi Jain.